Упр.12.26 ГДЗ Мордковича 11 класс профильный уровень (Алгебра)
Решение #1
Решение #2(записки учителя)
Решение #3(записки школьника)

Рассмотрим вариант решения задания из учебника Мордкович, Семенов 11 класс, Мнемозина:
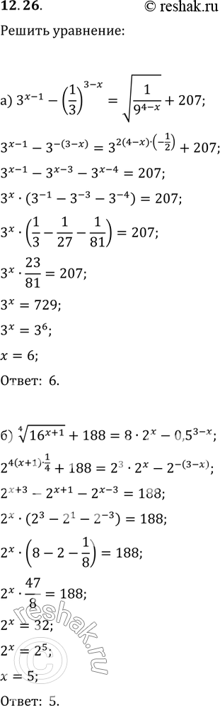
12.26 а)3(x-1)-(1/3)(3-x)= корень 1/9(4-x) + 207;
б)корень 4 степени 16(x+1) + 188 = 8*2x-0,5(3-x).
*размещая тексты в комментариях ниже, вы автоматически соглашаетесь с пользовательским соглашением